Contoh Soalan Ungkapan Algebra

Contoh soalan iq, contoh soalan jpa, contoh soalan n29, contoh soalan ptd, contoh soalan sbp, contoh soalan muet, contoh soalan psra, contoh soalan pt3, contoh soalan spa, contoh soalan spa8, contoh soalan spm, contoh soalan ukcg,


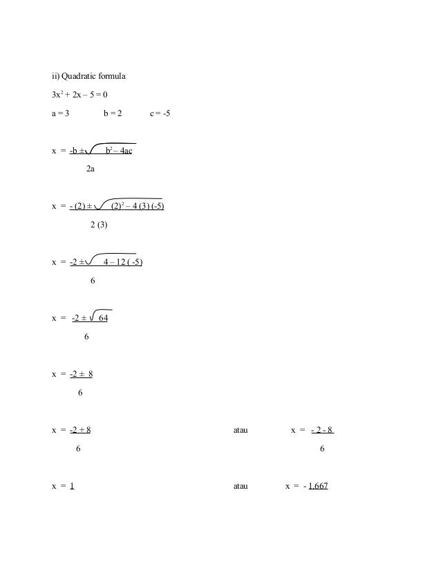
Contoh Soalan Dan Jawapan Algebra via www.slideshare.net
Contoh soalan dan jawapan Algebra

100 Soalan Matematik Ting2 via www.slideshare.net
100 soalan Matematik Ting2

Myfreetuition via mymobileuni.com
MYFREETUITION

Ungkapan Algebra via www.slideshare.net
Ungkapan Algebra

Spm Mathematics Notes (form 4) - Spm - Free Spm Tips 2019 via spm.student-malaysia.com
SPM Mathematics Notes (Form 4) - SPM - Free SPM Tips 2019

Contoh Soalan Indeks Matematik Tingkatan 3 - Soalan Ai via soalanai.blogspot.com
Contoh Soalan Indeks Matematik Tingkatan 3 - Soalan ai

Contoh Soalan Dan Jawapan Algebra via www.slideshare.net
Contoh soalan dan jawapan Algebra

Cekap Algebra via cekap-algebra.blogspot.com
Cekap Algebra

Nota Matematik Tingkatan 1 Bab 7 : Ungkapan Algebra via cheguzam.blogspot.com
Nota Matematik Tingkatan 1  Bab 7 : Ungkapan Algebra

Myfreetuition via mymobileuni.com
MYFREETUITION

Cekap Algebra: Ungkapan Algebra via cekap-algebra.blogspot.com
Cekap Algebra: UNGKAPAN ALGEBRA

Pmr Math Tingkatan 3: Rumus Algebra - Youtube via www.youtube.com
PMR Math Tingkatan 3: Rumus Algebra - YouTube

Soalan Latihan Bahasa Melayu Tahun 3 Baik Soalan Matematik via skoloh.com
Soalan Latihan Bahasa Melayu Tahun 3 Baik soalan Matematik

Contoh Soalan Dan Jawapan Algebra via www.slideshare.net
Contoh soalan dan jawapan Algebra

(13) Ungkapan Dan Persamaan Kuadratik (quadratic via cheguzam.blogspot.my
(13) Ungkapan Dan Persamaan Kuadratik (Quadratic

Soalan Ungkapan Algebra - Terengganu N via terengganun.blogspot.com
Soalan Ungkapan Algebra - Terengganu n


Random Image



Related Posts To Contoh Soalan Ungkapan Algebra


Contoh Soalan Ungkapan Algebra Rating: 4.5 Posted by: glassteeth24

Search Here

Popular Posts

Total Pageviews

Recent Posts